Un bailleur peut être tenté de vouloir expulser par lui-même son locataire pour diverse raison (non-paiement du loyer, trouble de jouissance, etc.) sans décision du juge.
Mais que risque-t-il ?
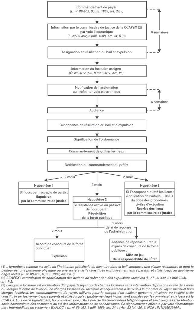
La voie légale
Il faut rappeler que la seule voie légale pour obtenir l’expulsion de son locataire ou de tout occupant sans droit ni titre est la voie judiciaire.
Cette procédure prend environ 24 mois du début à la fin.
Attention : le simple envoi d’un congé ne suffit pas à expulser un locataire.

L’expulsion du bail d’habitation
La voie illégale
Le bailleur qui ne souhaite pas attendre d’obtenir le titre exécutoire et le concours de la force publique commet un délit pénal prévu par l’article 226-4 du code pénal puni de 3 ans d’emprisonnement et 45 000 € d’amende :
« L’introduction dans le domicile d’autrui à l’aide de manœuvres, menaces, voies de fait ou contrainte, hors les cas où la loi le permet, est puni de trois ans d’emprisonnement et de 45 000 euros d’amende.
Le maintien dans le domicile d’autrui à la suite de l’introduction mentionnée au premier alinéa, hors les cas où la loi le permet, est puni des mêmes peines.
Constitue notamment le domicile d’une personne, au sens du présent article, tout local d’habitation contenant des biens meubles lui appartenant, que cette personne y habite ou non et qu’il s’agisse de sa résidence principale ou non. »
Les Procureurs n’hésitent pas à poursuivre ce genre de délits qui sont facilement caractérisés.
Le locataire victime de cette expulsion illégale peut également demander la réintégration dans les lieux et des dommages intérêts.

